شماره 80

تولید متــانــول در ایران /خصوصیات فیزیکی و شیمیایی متانول

تولید متــانــول در ایران /خصوصیات فیزیکی و شیمیایی متانول
(دوشنبه ۵ اَمرداد ۱۳۹۴) ۰۹:۰۰

متانول یا الکل متیلیک با فرمول شیمیایی CH3OH مایعی است بیرنگ و قابل اشتعال با بویی تقریباً زننده و الکلی که با هر نسبتی با آب مخلوط می شود ، دانسیته آن در 20 درجه سانتیگراد برابر با 792 کیلوگرم بر مترمکعب و نقطه جوش نرمال آن 7/64 درجه سانتیگراد است.

متانول ماده ای است سمی که خوردن 30 سی سی از آن باعث مرگ و 5 سی سی باعث کوری دائم می شود و بدلیل بی رنگی در محیط هایی که افراد با متانول سر و کار دارند لازم است احتیاط های لازم بعمل آید تا این ماده با آب اشتباه نشود.

اثرات این ماده سمی بر بدن انسان معمولاً پس از چند ساعت و حتی چند روز ظاهر می شود که عواقب عصبی و گوارشی شدید بوجود می آورد. همچنین تنفس کردن در محیطی که به بخار متانول آلوده است پس از مدت طولانی اثرات سمی بر بدن می گذارد.

چون متانول به هر نسبت با آب مخلوط می شود ، در صورت آتش گرفتن نمی توان آن را با آب خاموش نمود و برای این کار از Foam استفاده می شود.

 تاریخچه ایجاد واحدهای متانول در ایران

تا سال 1369 کشور ما فاقد واحد تولید متانول بود و متانول مورد نیاز کشور با کشتی وارد می شد .

پس از انقلاب اسلامی و در طول دوران جنگ تحمیلی، طراحی یک واحد متانول با ظرفیت 84000 تن در سال در دستور کار شرکت ملی صنایع پتروشیمی قرار گرفت و محل آن نیز بدلیل استفاده از امکانات مجتمع پتروشیمی شیراز و نزدیک بودن به واحدهای مصرف کننده متانول در مجاورت این مجتمع تعیین گردید. بعد از طی مراحل مهندسی و نصب از اردیبهشت ماه 1369 تولید خود را آغاز کرد و از خرداد ماه همین سال رسماً افتتاح شد. این واحد که ظاهراً قرار بوده است در جزیره خارک اجرا شود با تصمیم معقولی در آن زمان  به شیراز منتقل شد و بهمین دلیل از سال 1369 که تولیدات آن آغاز شد علاوه بر تامین تمام نیاز کشور به متانول بخشی از تولیدات نیز از طریق همان مخازن موجود در بوشهر به خارج از کشور صادر گردید که روند صادرات تا مدتها ادامه داشت . گفتنی است که نیاز کشور در زمان طراحی این واحد 40000 تن در سال برآورده شده بود که این رقم شامل طرح توسعه کارخانه قدس شیراز که فرمالین و هگزامین تولید می کند نیز می گردید.

تولید متانول در ایران

در کشور ما بدلیل فراوانی منابع گاز و بخصوص پس از بهره برداری از منابع پارس جنوبی و از اواخر دهه 1370 ایده تبدیل گاز به مواد شیمیایی بطور قابل توجهی مطرح گردید و در حال حاضر تعداد 5 واحد متانول با جمع ظرفیت حدود 5 میلیون تن ایجاد گردیده و نیز 12 طرح جدید متانول جمعاً با ظرفیت حدود 19 میلیون تن در سال در مراحل مهندسی ، نصب و یا بررسی است.

در ایران از سال 1369  که اولین و کوچک ترین واحد متانول در شیراز راه اندازی شد تا سال 1388  که آخرین واحد در حال تولید در فاز 2 پتروشیمی زاگرس راه اندازی گردید ظرفیت طراحی واحدها نیز بتدریج افزایش یافته است و از 84000  تن در سال در واحد شیراز به 1/5 میلیون تن در سال در هر کدام از واحدهای پتروشیمی زاگرس رسیده است.

طراحی واحدهای متانول به دو روش صورت می گیرد. یکی روش سنتی (Conventional)  که از ریفرمینگ گاز طبیعی ، گاز سنتز متانول تولید می شود و گاز سنتز پس از فشردن با کمپرسور در راکتور متانول تبدیل به متانول خام می شود و در واحد تقطیر، متانول خالص تولید می شود. این روش در مجتمع های پتروشیمی شیراز ، خارک و فن آوران به کار گرفته شده است.

روش دوم که برای ایجاد واحدهای بزرگ بیش از یک میلیون تن در سال طراحی می شود ، بخش عمده ای از ریفرمینگ گاز سنتز در راکتوری بنام (ATR) Auto Thermal Reactor  انجام می شود و برای اینکار نیاز به گاز اکسیژن است که مستقیماً همراه با گازهای خروجی ریفرمر اول به راکتور ATR تزریق می شود و  بدلیل حرارت بالا در ATR بخار آب نسبتاً زیادی تولید می شود که به خارج از واحد متانول می رود.

در روش اول (Conventional)  در ترکیب نهایی گاز سنتز ، هیدروژن بیش از کربن وجود دارد و لذا اگر گاز کربنیک اضافی در منطقه وجود داشته باشد به گاز سنتز افزوده می شود و باعث افزایش تولید متانول می گردد. این روش در شیراز و فن آوران انجام شده است. در روش دوم ترکیب گاز سنتز خروجی از راکتور ATR  به صورتی است که کمبود هیدروژن نسبت به کربن وجود دارد لذا از روش تهیه هیدروژن از گازهای Purge یا منابع دیگر استفاده می شود تا بالانس ترکیب هیدروژن و کربن در راکتور متانول معادل شود.

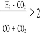
بطور کلی در تولید متانول در راکتورهای سنتز نسبتی برای ترکیب گازهای هیدروژن ،  Co و CO2  بعنوان اجزاء گاز سنتز متانول به شرح زیر وجود دارد.


این نسبت تقریباً اساس طراحی واحدهای متانول و یک ضرورت برای Loop سنتز می باشد و لازم است صاحبان تکنولوژی در طراحی ریفرمر و ترکیب گاز سنتز نسبت فوق را رعایت نمایند.

ویژگی های منحصر بفرد ایجاد متانول اول

همزمان با عملیات مهندسی ، نصب و راه اندازی طرح متانول شیراز ، صنعت پتروشیمی کشور در این سه بخش مهم به نحو چشمگیری به موفقیتهای قابل توجهی دست یافت که بطور خلاصه به آنها اشاره می شود.

قابل ذکر است که قبل از طرح متانول شیراز مسئولیتهای مهندسی ، نصب و راه اندازی توسط شرکتهای خارجی انجام می شد.

  1. شرکت ملی صنایع پتروشیمی همزمان با ایجاد واحد متانول اول برای اولین بار در کشور با تاسیس دفتر طرح متانول به طراحی پایه و تفصیلی طرحها ورود کرد. دفتر طراحی متانول شیراز که بعداً بعنوان دفتر طراحی و مهندسی و هم اینک بعنوان شرکت پیدک معروف است اولین تجربه مهندسی خود را با متانول اول آغاز کرد و تاکنون ده ها طرح بزرگ و کوچک را در سطح صنعت نفت طراحی کرده و از بزرگ ترین شرکتهای مهندسی است.

  2. شرکت ساختمان و نصب پتروشیمی نیز با بهره گیری از تجربیات موفق نصب متانول اول به موفقیت هایی دست یافت و لذا اراده ورود به مراحل نصب و ساختمان واحدهای بزرگ تر و بعدها مجتمع های پتروشیمی نیز از همین طرح پایه گذاری شد.

  3. راه اندازی طرح متانول اول به دلیل تلفیق چند موضوع زیر بسیار موفق و از افتخارات شرکت ملی صنایع پتروشیمی در آن مقطع زمانی ذکر گردید.

    اول اینکه این طرح همزمان با جنگ تحمیلی بود و کلیه دست اندرکاران با نگرشی متعهدانه به کار مشغول بودند و تقریباً تمامی تجربیات و مدیریت صنعت پتروشیمی و تجارب مفید پتروشیمی شیراز به کار گرفته شد. ثانیاً بدلیل تعطیل بودن سایر مجتمع ها توقعات و انتظارات بیشتری در شیراز متمرکز شده بود و اینکه استفاده از دانش ، پختگی و تجربه مفید مدیرانی که طرح گسترش پتروشیمی شیراز ( فاز 2 ) را در اوایل انقلاب اداره کرده بودند باعث گردید که گروه توانمندی از کارشناسان با تجربه در فاز 2 شیراز مسئولیت راه اندازی و برنامه ریزی برای بهره برداری در قسمتهای شش گانه فرآیند ، بهره برداری ، مکانیک ، ماشینری ، برق و ابزار دقیق عهده دار این مهم شوند و کلیه مراحل مهندسی و نصب و راه اندازی و نظارت را با وسواس انجام دهند بنحوی که هنگام تکمیل مکانیکی( Mechanical Completion )، آخرین Check List  تهیه شده توسط گره راه اندازی علیرغم سختگیری های فوق العاده تنها نصب یک Cap روی یک nipple  را شامل می شد. جالب است که برنامه راه اندازی به مدت 139 ساعت دقیقاً طبق برنامه انجام شد و در سطح صنایع پتروشیمی تنها واحدی بود که برای اولین بار بصورت تمام خودکار در سرویس قرار گرفت و کلیه سیستم های کنترل در تمام واحد در حالت خودکار بود و اگر تغییراتی در خوراک ورودی حتی از منطقه بیدبلند رخ می داد ، این واحد خود را بر آن اساس تنظیم می کرد و این موضوع برای آن زمان که هنوز سامانه های کنترل نوین نصب نشده بود موفقیتی بزرگ به حساب می آمد.

     

    با توجه به موارد فوق ذیلاً به شرح مختصری از واحدهای متانول موجود و در حال تولید در صنایع پتروشیمی می پردازیم :

  1. واحد متانول پتروشیمی شیراز

    این واحد اولین و کوچک ترین واحد متانول ایران است و توسط شرکت Lurgi  براساس چهار base خوراک طراحی شده است و علت آن هم همزمان شدن با راه اندازی پالایشگاه گاز کنگان بود که گاز تولیدی کنگان و بیدبلند با هم مخلوط یا جداگانه تزریق شوند.

  2. واحد تولید متانول خارک

    این واحد نیز با استفاده از لیسانس شرکت لورگی و با استفاده از گازهای مازاد در جزیره خارک و با ظرفیت 2000 تن در روز طراحی و نصب شده است. این واحد دومین واحد متانول کشور بوده و عمده تولیدات آن صادر می گردد.

    فرآیند تولید شبیه فرآیند تولید در پتروشیمی شیراز بوده با این تفاوت که در اینجا CO2  اضافی برای افزایش تولید به مواد متانول تزریق نمی گردد.

    کار ساختمان و نصب این واحد بدلیل واقع شدن در جزیره و دور بودن از امکانات عمومی در شرایط نسبتاً سختی انجام شد و ضعف هایی در مهندسی و طراحی واحد وجود داشت که در طول راه اندازی و سالهای بعد از آن بتدریج با تعریف پروژه های اصلاحی حل شده است.

    از جمله موارد مثبت قابل ذکر در واحد متانول خارک لازم است به برنامه ریزی ، آموزش و دقت و پیگیری های مستمر تیم های راه اندازی و مدیریت پروژه و استفاده از توانمندی های مجتمع های پتروشیمی شیراز و رازی و خارک برای رفع مشکلات و رسیدن به ظرفیت اسمی آن واحد ذکر نمود.

  3. واحد متانول پتروشیمی فن آوران

    این واحد براساس تکنولوژی شرکت تاپسو و براساس دو پایه خوراک بر مبانی گاز پالایشگاه بیدبلند و منطقه عسلویه و همچنین خوراک CO2 از مجتمع های رازی و مارون طراحی گردیده است.

    ظرفیت تولید این واحد یک میلیون تن در سال می باشد و فرآیند تولید تقریباً شبیه پتروشیمی شیراز و خارک می باشد.

    کار طراحی ، نصب و ساختمان سومین واحد متانول از سال 1377 شروع گردید و در سال 1383 با موفقیت راه اندازی شد.

    از ویژگی های مثبت متانول سوم استفاده از تجربیات و کارشناسان با تجربه در زمان طراحی واحد بود که منجر به جمع آوری گازهای CO2  در منطقه بعنوان خوراک تکمیلی است که هم باعث افزایش IRR  واحد و هم تولید بیشتر شده است و از طرفی از آلودگی های زیست محیطی نیز به نحو قابل توجهی کاسته می شود.

  4. واحدهای متانول پتروشیمی زاگرس

    در فاصله سالهای 1379 تا 1388 طراحی ، نصب و راه اندازی دو واحد بزرگ متانول مشابه هم هر کدام به ظرفیت 1650000 تن در سال در پتروشیمی زاگرس در منطقه عسلویه انجام شد.

    این واحدها با تکنولوژی جدید شرکت لورگی و براساس فرآیند Combined Reforming   و استفاده همزمان از ریفرمر بخاری و ریفرمر ATR  و با خوراک گاز طبیعی فازهای عسلویه و اکسیژن تولیدی در پتروشیمی مبین صورت گرفت.

    از ویژگی های واحدهای متانول زاگرس علاوه بر اینکه در حال حاضر بزرگ ترین واحد تولیدی منطقه است ، استفاده از آب دریا در برجهای خنک کننده است که این روش در واحدهای متانول برای اولین بار صورت گرفته است. همچنین قابلیت عرضه تا 200 تن بخار در ساعت از هر کدام از واحدها برای مصارف خارج از مجتمع است که در مواردی می تواند کمک موثری به نیروگاه منطقه باشد. ضمناً برای اولین بار در خروجی راکتور سنتز هم مبدل Water Cooled و هم Gas Cooled استفاده شده است.

    نتیجه گیری

    با توجه به کثرت مجوزهای صادر شده برای توسعه واحدهای متانول در کشور که تاکنون حدود  20  میلیون تن در سال است به این مهم اشاره می شود که علاوه بر اینکه تولید این حجم متانول آنهم فقط در یک کشور بازار را آشفته خواهد کرد و از طرفی نیاز به بیش از 60 میلیون متر مکعب گاز در روز است ، از لحاظ اقتصاد ملی نیز در شرایط فعلی با محاسبات ساده ای قابل استنتاج است که با توجه به قیمت گاز وارداتی ، قیمت گاز صادراتی و قیمت های گاز تحویلی در داخل کشور و همچنین اشتغال زایی کم ، توسعه واحدهای متانول با هدف صادرات متانول بعنوان محصول نهایی به نفع منافع ملی نیست.

بعبارت دیگر یارانه ای که کشور بابت مصرف گاز در یک واحد متانول می پردازد بیش از منافع صادراتی متانول برای کشور است بدین معنی اگر به ازای توقف یک واحد متانول ، مقدار کمتری گاز وارد شود یا مقدار بیشتری گاز صادر گردد ، نفع اقتصادی بیشتری برای کشور در بر دارد. ضمن اینکه خریداران متانول در آنسوی مرزها از زمین ، آب و هوای پاک تر نیز بهره مند می شوند و زیان اصلی به کشور تولید کننده تحمیل می شود. لذا لزوم بازنگری در سیاست های توسعه ای در جهت منافع ملی و تعریف زنجیره های پایین دستی تولید از جمله واحدهای تولید MTP ، DME ، اسید استیک و ...  همراه با بررسی کارشناسی در مصرف انرژی و  توجه به توسعه پایدار با در نظر گرفتن شاخص های توسعه انسانی (HDI) مورد تاکید است.
ایمیل را وارد کنید
تعداد کاراکتر باقیمانده: 500
نظر خود را وارد کنید

لوگو-پیام پترو

سایت اطلاع رسانی روابط عمومی

شرکت ملی صنایع پتروشیمی